Toys For TotsToys For Tots

FDLE investigates ‘Alachua Nine’ as outside agency pays $15K in voter debts

Florida Rights Restoration Coalition representatives meet with Alachua voters RB Banks (second from left) and Antonio Hall (third from left) to pay their outstanding fines. Courtesy of Florida Rig
Florida Rights Restoration Coalition representatives meet with Alachua voters RB Banks (second from left) and Antonio Hall (third from left) to pay their outstanding fines.
Courtesy of Florida Rights Restoration Coalition
Key Points

When city of Alachua resident Antonio Hall received a phone call one day in June from a private election volunteer, he didn’t know why.  

The caller identified herself as Lisia Jenkins, also an Alachua resident. Jenkins informed the 56-year-old he’d been marked as a potential perpetrator of election fraud for voting in the city’s April 8 municipal election with outstanding fines.  

Jenkins’ message left Hall frightened. He’d voted in previous elections and said he didn’t know about any fines incurred from a 2001 criminal felony conviction. 

Become A Member

Mainstreet does not have a paywall, but pavement-pounding journalism is not free. Join your neighbors who make this vital work possible.

“I didn’t know I had a fine,” he said. “I was kind of afraid that I was going to go to jail.” 

Hall wasn’t the only one blindsided by the accusations of election fraud. 

During a regular commission meeting on April 21, Alachua developer and former supervisor of elections candidate Mitch Glaeser said a double-digit number of ineligible ballots had been cast during the election. 

In a mayoral race decided by 21 votes in favor of challenger Walter Welch over incumbent Gib Coerper, every vote mattered. 

The ineligible ballot information came from Glaeser’s brother, Mark Glaeser, a data programmer who researched the election and found 11 names of potentially ineligible voters. The voters ranged from 36 to 72 years old in what some voter advocates call “The Glaeser Report.”  

The report identified those with outstanding felony convictions that had not been fully served, either by not fulfilling time in jail or not paying fines related to these convictions. To vote under either circumstance is considered a third-degree felony punishable by up to five years in prison. 

Antonio Hall travels to the Alachua County Clerk of Court to have outstanding fines paid by the Florida Rights Restoration Coalition. Courtesy of Florida Rights Restoration Coalition
Courtesy of Florida Rights Restoration Coalition Antonio Hall travels to the Alachua County Clerk of Court to have outstanding fines paid by the Florida Rights Restoration Coalition.

The Glaesers reported the 11 names to Alachua County Supervisor of Elections Kim Barton, who also notified State Attorney Brian Kramer, the Florida Department of Law Enforcement (FDLE) and the Florida Office of Election Crimes and Security.  

In a letter to Kramer on May 20, Barton said her office found probable cause for a violation of the Florida Election Code based on Mark Glaeser’s findings for nine of the voters, and that her office verified the voters’ information in the state’s court case database. She said in the letter that notices of potential ineligibility had been sent to the nine voters and that she’d identified two of the Alachua voters as eligible.  

The rest have been deemed the “Alachua Nine” by a group of concerned citizens, including Jenkins, working to get the voters’ fines from felonies paid and voting rights restored. 

This summer, the Florida Rights Restoration Coalition (FRRC) paid almost all of the “Alachua Nine’s” nearly $15,000 in outstanding fines from prior felony convictions, including Antonio Hall’s $315. Eight of the voters have already re-registered to vote, but neither action clears them of the consequences if state investigators find they illegally voted in the April election. 

As the “Alachua Nine” wait to hear if they will face prosecution, their situation has raised a host of questions about voter fraud in Florida, including how it’s defined, the role of unpaid fines, and when felons should be disenfranchised. Some voting advocates say the current system is flawed and question whether it gives voters enough confidence to know they are legally casting ballots. 

“The most challenging part was just finding out that I couldn’t vote,” Hall said. “A lot of people died for that right. I don’t think that should ever be lost by anyone.” 

Fraud in Alachua? 

While working as a realtor in addition to database programming, Mark Glaeser said he started researching cases of fraud in 2009 and election fraud around 2020 as a private citizen doing his civic duty. The April election in Alachua piqued his interest because of the tight, 639-to-618 margin between Welch and Coerper.  

According to Aaron Klein, spokesperson for Alachua County Supervisor of Elections, having a greater number of potentially fraudulent votes than the margin between the candidates could provide grounds for any involved parties to bring a challenge before a judge. 

Jenkins, a lifelong Alachua resident who said she volunteers in many capacities, started volunteering in connection with local elections in 2018. She said she had never seen election integrity challenged like the Glaesers did after the April election. 

Earlier in the year, Jenkins said, she had requested a voting roll from the Supervisor of Elections Office with every registered voter in Alachua on it. She assumed all of them were eligible, but the list included the “Alachua Nine” voters. 

She used the list of registered voters to advise people, including some of the “Alachua Nine,” who called her to confirm their eligibility before they voted. 

Because everyone listed on The Glaeser Report voted at the Hathcock Community Center, Jenkins and other volunteers were concerned that Mark Glaeser targeted the predominantly African American precinct without surveying all voters. 

Glaeser denied the accusations and said he researched the roughly 1,300 voters who cast ballots across Alachua’s three precincts. Ten of those he found were African American and one was white.  

“The number of people who voted was the data set. It was small enough to go through and not hard at all,” he said. “I found 11 in about two hours.” 

Meanwhile, Jenkins found treasury reports showing Mitch Glaeser made a $250 donation to Coerper’s campaign and a $1,000 donation to former City Commissioner Ed Potts, who also lost in the April election.  

She was concerned the challenge of the election might be an attempt to tip the results in favor of the losing Republican candidates because eight of the Alachua Nine voted as registered Democrats and one without a party affiliation. So, Jenkins contacted FRRC for help.  

Founded in 2011 by Desmond Meade, FRRC is an Orlando-based nonprofit run by formerly incarcerated persons aiming to help others regain pre-incarceration freedoms, such as voting rights.  

Meade was nominated for the Nobel Peace Prize in 2023, ranked on Time magazine’s top 100 most influential people and voted Floridian of the Year in 2019 for FRRC’s work raising $30 million to cover fines and court fees for felons and championing Florida’s Amendment 4. 

Passed in 2018 by nearly 65% of voters, Amendment 4 grants voting rights to felons once all terms of their sentence are completed, including parole or probation, except for those with murder or sexual offense charges.  

Less than one year later, Gov. Ron DeSantis signed SB 7066 to adjust laws in recognition of Amendment 4 and define key terms. Among other things, it defines outstanding Legal Financial Obligations (LFO), including fines, fees and restitutions, and says felons are ineligible to register or vote until all LFOs are paid, waived by a court or fulfilled by a court allowing you to substitute community service hours. 

In 2019, a federal court blocked what some called the “pay-to-vote” system because the state didn’t consistently track LFOs, but the U.S. Court of Appeals for the Eleventh Circuit reinstated it in 2020. The court ruled the requirements were not a poll tax, even if one purpose of fees and costs is to raise revenue. One purpose does not transform the criminal penalty into a tax. “Every financial penalty raises revenue for the government.”  

Mark Glaeser says Amendment 4 has done more harm than good for felons. He said that by paying their fines when the voters might have other outstanding eligibility requirements in their sentence as they re-register to vote, FRRC leaves people vulnerable to arrests for fraud. 

In 2022, DeSantis’s new Office of Election Crimes and Security arrested 20 people from the Democratic strongholds of Broward, Miami-Dade and Palm Beach counties who the governor said voted in the 2020 presidential election with murder or sexual offense convictions.  

Like in the Alachua election, some of the voters said they thought they could vote simply because they’d been able to register and because the registration language didn’t ask about specific convictions that would inhibit voting. 

SB 7066 specifies that the uniform statewide voter registration application requires someone to affirm they either (a) have not been convicted of a felony or (b) if convicted, have had his or her civil rights restored through executive clemency or pursuant to s. 4, Art. VI of the State Constitution.  

Meade told Mainstreet his organization helps returning citizens navigate the whole voting process, whether it’s finding out their eligibility, asking courts to waive outstanding LFOs, convert them into community service, or paying the fines altogether. 

RB Banks (at desk in orange shirt) of the Alachua Nine registers to vote after the Florida Rights Restoration Coalition pays his fines. Courtesy of Florida Rights Restoration Coalition
Courtesy of Florida Rights Restoration Coalition RB Banks (at desk in orange shirt) of the Alachua Nine registers to vote after the Florida Rights Restoration Coalition pays his fines.

He said people who registered to vote between Amendment 4’s passing and SB 7066 need a lot of grace because there was no written legislation at the time to guide them, and the courts agreed. 

In 2020, the Eleventh Circuit ruled that people with felony convictions who registered between Amendment 4’s start date on Jan. 8, 2019, and Sept. 11, 2020, are “entitled to vote” unless removed from the voter rolls. 

Part of what investigators will consider in the “Alachua Nine” case is that most of them registered to vote in 2019, and others in 2020.  

Meade said the state and local governments need to refine whose responsibility it is to determine voter eligibility and help people with convictions find out if they have LFOs and how much. 

Currently, to learn about LFOs, a person must contact the state attorney, clerk of court or public defender’s office for a copy of their judgment and sentence. The Florida Division of Elections can also issue an advisory opinion. 

Jenkins said the supervisor of elections is also able to check, but the form to do so must be notarized and can take up to 90 days. She said the process serves as a form of voter suppression as people avoid voting out of fear they’ll accidentally do so illegally. 

Even if outstanding fines are paid after voting, Mark Glaeser said it doesn’t change the fact that crimes were committed during an election, and elections have consequences for everyone.  

“How much voter fraud is too much? One vote,” he said. “Because that either eliminates, offsets, or dilutes my vote.” 

Moving forward 

Meade said the state that issues voter IDs should be responsible for tracking voter eligibility regardless of the third party a person may have registered through, no different than how a driver’s license agency is responsible for who it issues driver’s licenses to. 

He said the FDLE’s investigation of the “Alachua Nine” doesn’t make the voters ineligible to vote and that FRRC can connect them with free legal representation should prosecution arise. 

“The state should be a fan of this because we want every eligible person in Florida to be able to participate in our democracy,” Meade said. “I think the more inclusive our democracy is, the more vibrant it is.” 

Since Amendment 4, Florida has continued to implement measures to help clean up voter fraud and eligibility confusion in its elections. 

In 2021, DeSantis signed a bill into law aiming to strengthen voter ID requirements for mail-in ballots, which critics say makes it harder for minorities and people with disabilities to vote. The measure also bans the mass mailing and harvesting of absentee ballots. 

State Attorney Brian Kramer launched the V8th program in 2022, which assigns a prosecutor to a felon’s case to investigate whether they can legally vote in Florida elections, particularly within the Eighth Circuit covered by Kramer.  

Darry Lloyd, Kramer’s chief investigator, said that while their office doesn’t have the numbers to measure the success of V8th so far, the number of referrals has increased as more people know about the program. 

“It’s one of those tools that folks don’t really think about until they need it,” he said. 

Rep. Felicia Robinson, D-Miami Gardens, also sponsored a bill filed in the Florida House of Representatives on Wednesday that would allow the voting-rights status of people with felony convictions to be tracked through a centralized database. 

Although some progress for cleaner elections has been made, Mark Glaeser said there’s still a long way to go. He specifically pointed to 2022, when state prosecutors charged nine Alachua County voters with voter fraud during the 2020 presidential election, even though they were registered by Barton’s office. 

Klein, the Supervisor of Elections spokesperson, told Mainstreet in an email that Barton proudly endorsed a memorandum on behalf of the Florida Supervisor of Elections in 2021 after the ineligible voters were found. The memorandum stated that voters can be confident in their election administrators and protections that “ensure every ballot is counted accurately and only eligible Floridians are on the voter rolls.” 

Mark Glaeser said there are likely still thousands of voters on voter rolls who are ineligible, not including those who aren’t citizens, which he doesn’t have a way to verify. 

What’s important, he said, is that cities like Alachua continue taking steps toward maintaining election integrity to improve the system as a whole. 

“Cities need to go to the supervisor of elections and say, ‘clean up our data rolls,’” he said. “You don’t have to clean up the whole county. Clean up the city of Alachua. Just make an effort.” 

Editor’s note: This story was underwritten by a grant from the Rural Reporting Initiative at the Community Foundation of North Central Florida. To learn more or get involved, click here  

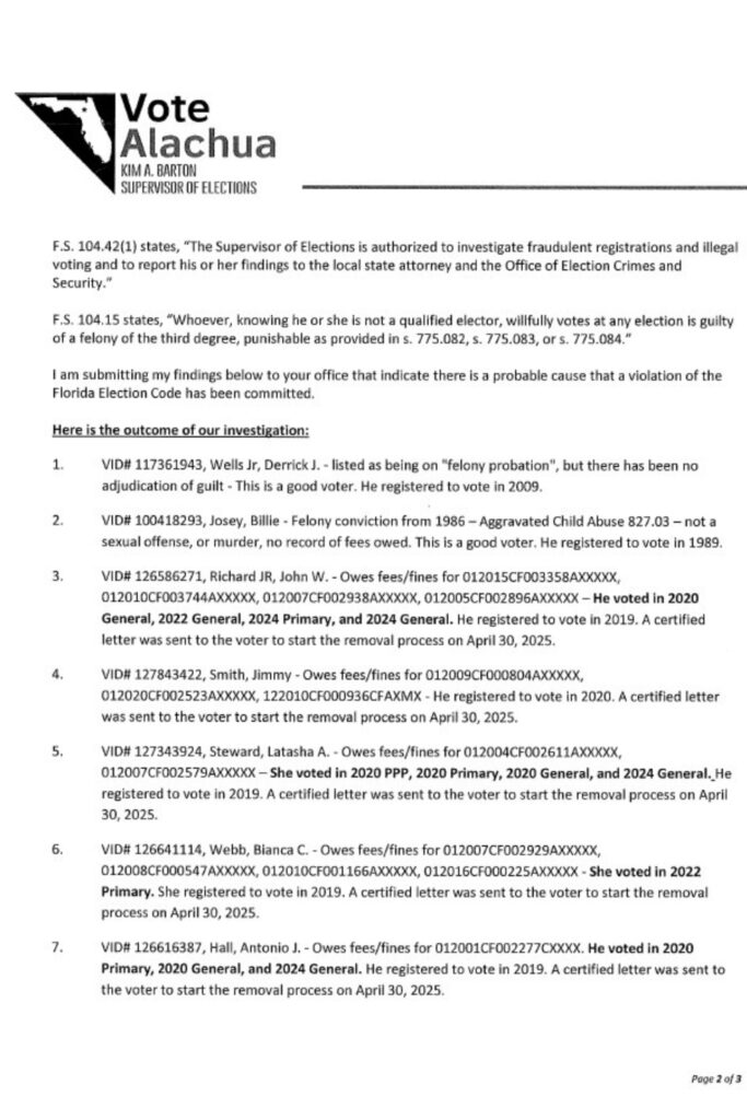
Alachua County Supervisor of Elections Kim Barton sends letter to State Attorney Brian Kramer validating probable cause for investigating the Alachua Nine page one.
Courtesy Alachua County Supervisor of Elections Office Alachua County Supervisor of Elections Kim Barton sends a letter to State Attorney Brian Kramer validating probable cause for investigating the Alachua Nine, page one.
Alachua County Supervisor of Elections Kim Barton sends letter to State Attorney Brian Kramer validating probable cause for investigating the Alachua Nine page two.
Courtesy Alachua County Supervisor of Elections Office Alachua County Supervisor of Elections Kim Barton sends a letter to State Attorney Brian Kramer validating probable cause for investigating the Alachua Nine, page two.
Alachua County Supervisor of Elections Kim Barton sends letter to State Attorney Brian Kramer validating probable cause for investigating the Alachua Nine page three.
Courtesy Alachua County Supervisor of Elections Office Alachua County Supervisor of Elections Kim Barton sends a letter to State Attorney Brian Kramer validating probable cause for investigating the Alachua Nine, page three.

Suggested Articles

No related articles found.

Leave a Reply

Your email address will not be published. Required fields are marked *

18 comments on “FDLE investigates ‘Alachua Nine’ as outside agency pays $15K in voter debts”

  1. The City of Alachua elections are non-partisan so not sure why the article mentions Democrats or Republicans. Sounds like the Glasers are mad their friends didn’t win (after donating to them!) and took their energy out on the public. I would be shocked if they would have gone through the same effort if Coerper or Potts won so it’s not about voting integrity – it’s about causing chaos to unsuspecting folks and voter intimidation in the local black community. Maybe someone should research if anyone who voted at Turkey Creek or Legacy Park owe a fine on to prove him wrong.

    1. I don’t disagree with you on Glaeser’s motives, but I’m all for some attention being brought to this. If for nothing else than to have those in question brought some clarity so they know where they stand. I’m all for a transparent system that lets you know if you’re eligible, and why you may not be, so they (we) can move forward. If it’s truly a minor thing like paying off fines that prevents eligibility, I can understand someone not knowing plainly that being a roadblock to legal voting. I applaud those, including the firm that assists former felons with straightening out the legalities to move forward with their lives and becoming contributing members again.

      1. Yes, there needs to be a state-wide system for everyone to know what fees or fines they owe. Preferably, it should be connected to the Supervisor of Elections so when you register to vote, you get an alert and you know to take care of it. These people had no idea, were registered to vote like anyone else, and voted with pure intentions. Glaser is trying to make people look bad when it’s the SYSTEM that stinks.

  2. Thank you Ron Desantis!!! Voter fraud! So Lisa Jenkins is a volunteer with Supervisor of Elections? She should be fired! Glad she and the rest are being investigated.

    1. I’m curious if she volunteers HOW CAN SHE BE FIRED AND WHAT MSKES YOU THINK LISA JENKINS IS BEING INVESTIGATED??? Lmao you are simply well never mind I’ll just keep it cute

      1. If she is an employee at the SEO she should know if someone is eligible to vote. What would FDLE be investigating 9 people for unless there is more behind it. Is there a connection between the 9 or are they all random. Ballot harvesting has been a big issue so I would imagine that is what FDLE is looking at and who is behind it. Whether Lisa or someone else. The article is all over the place so it’s hard to follow.

    2. At its core, this issue reflects fundamental incompetence at the state level, for which DeSantis is ultimately responsible. When the state chooses to punish someone they also have the responsibility to fully inform that person as to exactly what that punishment is, keep track of it and provide a document when that punishment has been completed. We expect that as a routine matter on a car loan or mortgage but not when the state imprisons and takes away basic rights? This is just willful incompetence.

  3. So, you have a $300 unpaid fine that you don’t even know about; and if you vote, you’re guilty of a fraud? A felony?

    1. They knew or more importantly should have known they did not pay their fines off. Ridiculous. They committed Felonies, They are very fortunate to be able to vote for dog catcher.

  4. Calling this fraud ignores the law. The real issue stems from Florida SB 7066, which created confusion over fines and fees in rights restoration. Under Florida Statutes §104.15 and §104.011, voting is only fraud if done willfully. There is no fraud when someone registers and votes believing in good faith that they are eligible.

    1. I think that’s the roughest part in this whole thing. How can someone who wants their voice to be heard and voted thinking they’ve done their civic duty get nailed because some government funded office didn’t confirm they were eligible and let them vote. If they weren’t eligible, the appropriate body should be doing their due diligence and informing them of their eligibility status as well as the steps needed to correct it.

  5. My mail not long ago included a notice from the state of Florida that my driver’s license would be suspended if I didn’t show proof of insurance for an automobile I had sold about a month earlier. If the state can enact and enforce laws requiring insurance coverage in order for me to drive, and notify me in a timely fashion if I even appear to be in violation, can’t the state accurately inform supervisors of elections of my voting status? That said, Mainstreet’s article is well written with all interests fairly represented. Good work.

  6. When I read up to: “I didnt know I had fines to pay” Thats enough for me to stop right there. And to enter into comments and see the partisan bs and more importantly the excuses being offered is no surprise to me at all. We as a civil sociaty are losing common ground more every single day.

  7. “Mark Glaeser said there are likely still thousands of voters on voter rolls who are ineligible, not including those who aren’t citizens”

    Enough of this Republican mantra drivel. Prove it with real facts or shut up. How do you know it is thousands not millions? Claiming a lie over and over and over again does not make it true. This “massive voter fraud” claim from Trump on down is a LIE. Enough of it.

    Fool me once, shame on me. fool me twice, shame on me. When Republican spokesman C. Hicken Little told me “The sky is falling” I put on my woke liburl tinfoil hat and wore it for years. Until I learned that unsubstantiated Republican lies were just that: Big Lies.

  8. Amendmend 4 was strongly passed and showed that the majority of Floridians support restoration of voting rights to people who have served their time. The legislature mucked it up by putting in vague fee requirements while failing to implement a system that would allow prospective voters to know how much and why they owed money. And the state provided no information on who was affected by their law and the state office of elections did not know who was affected. Terrible governing by the state. It has created “gotcha” confusion, not voting integrity.

  9. Powerful and timely reporting. The same issues raised here — confusion over fines, fear of prosecution, and the lack of a clear system for determining voter eligibility — are exactly what journalist Daniel Rivero explores in his new book “Just Freedom.” He’ll be at The Lynx Books in Gainesville this Friday (6 PM) with Desmond Meade of FRRC, whose work is featured here.
    https://thelynxbooks.com/events/3570320251010